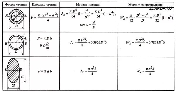
Сопротивление инерции