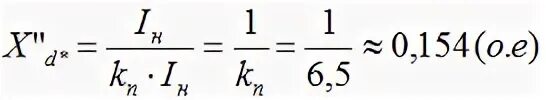
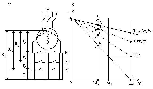
Сопротивление асинхронного двигателя