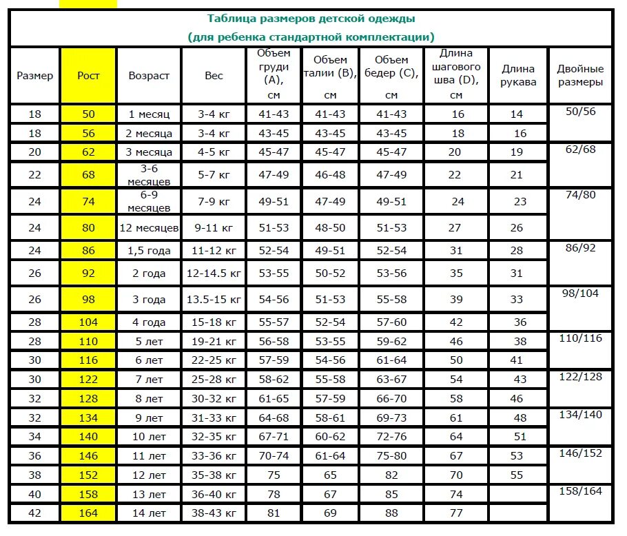
Соответствие веса и размера