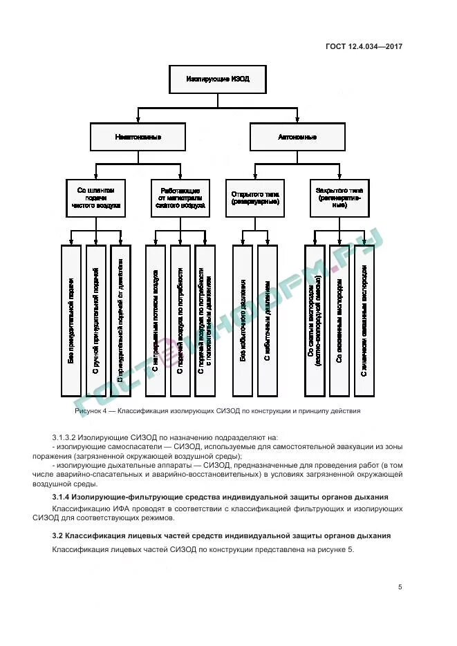
Соответствие типов сизод и критерии их выбора