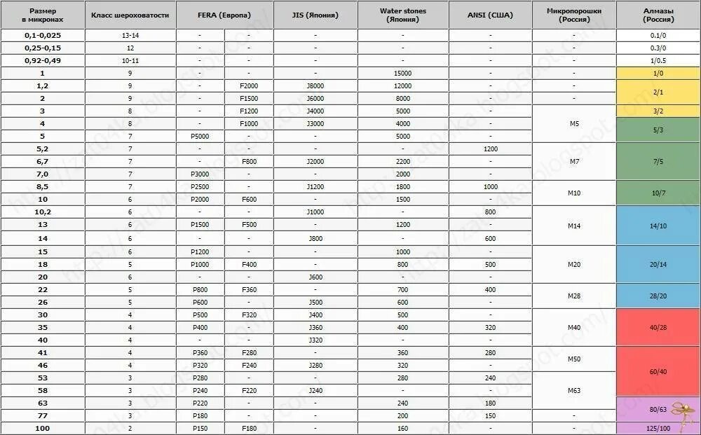
Соответствие маркировки