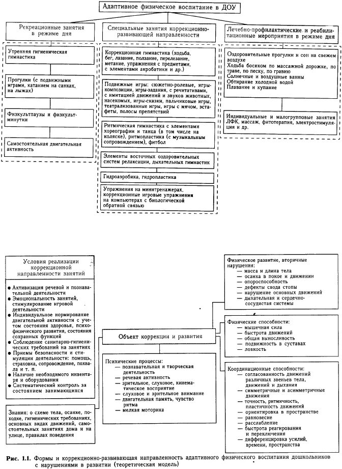
Содержание адаптивного физического воспитания