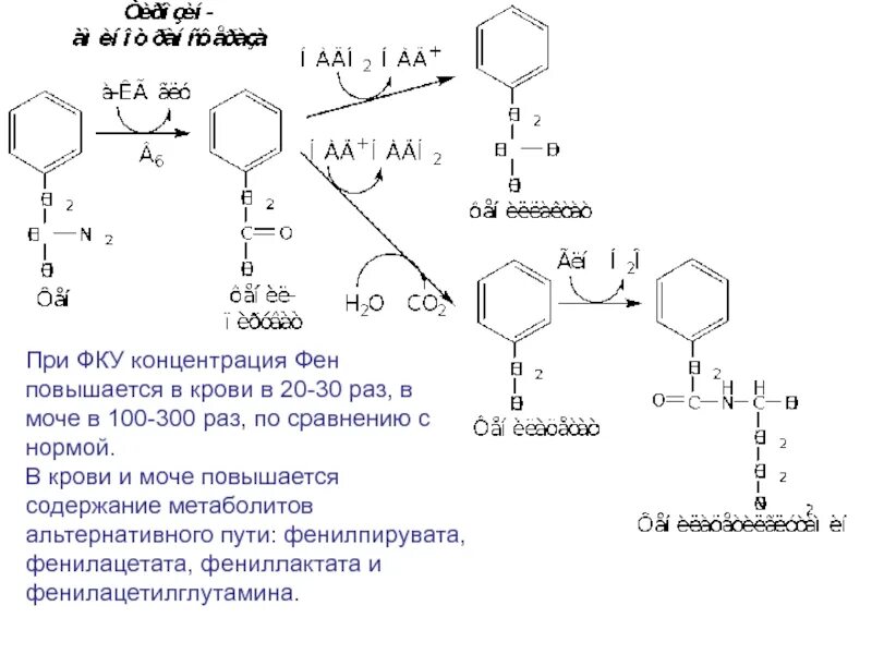
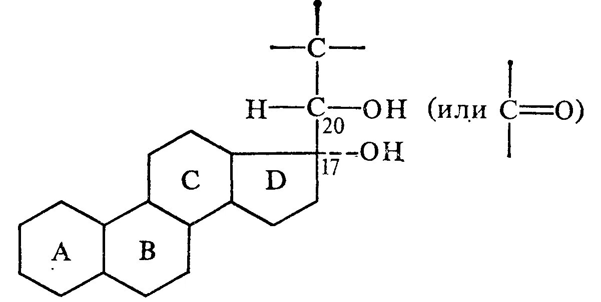
Содержание 17 кетостероидов