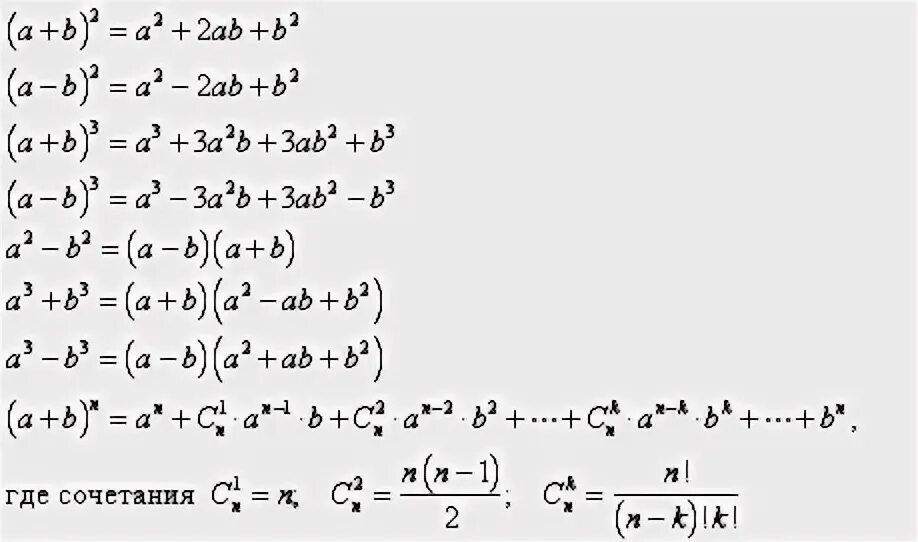
Смысл математической формулы s ab