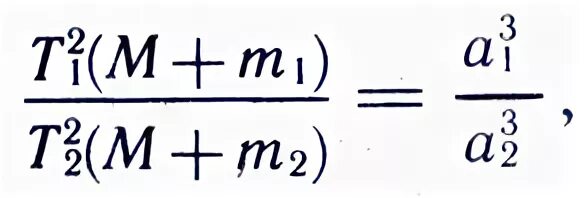
См3 в м3 формула