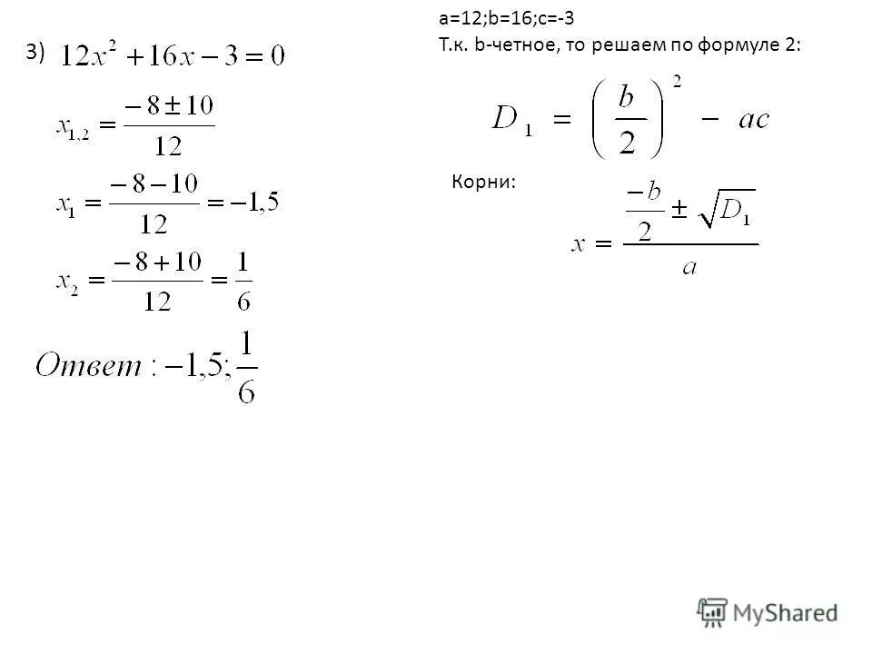
Следующее четное решение