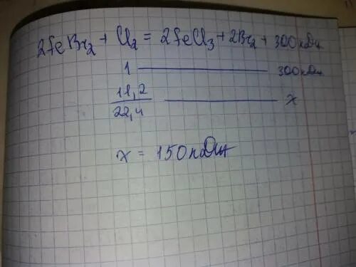
Сколько молекул хлора cl2