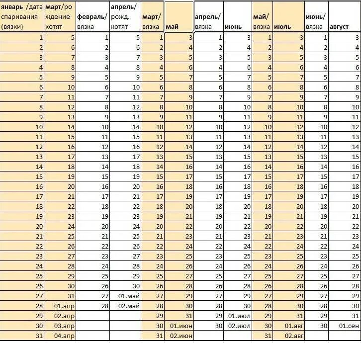
Сколько длится беременность у собак средних пород