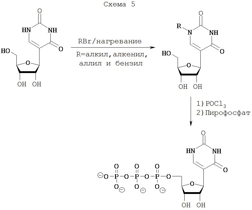
Синтез нуклеиновых кислот начинается с 5 конца