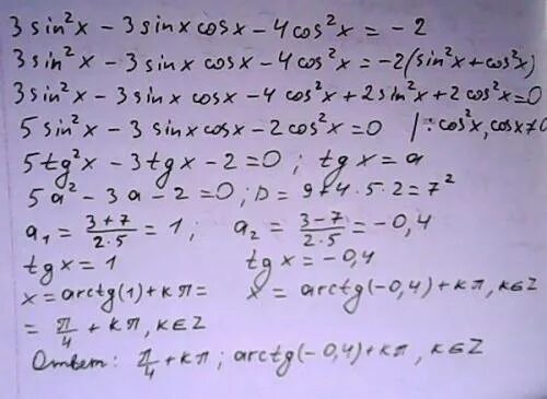
Sin2x 3 sinx cos2x