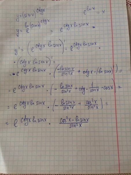
Sin x ctgx