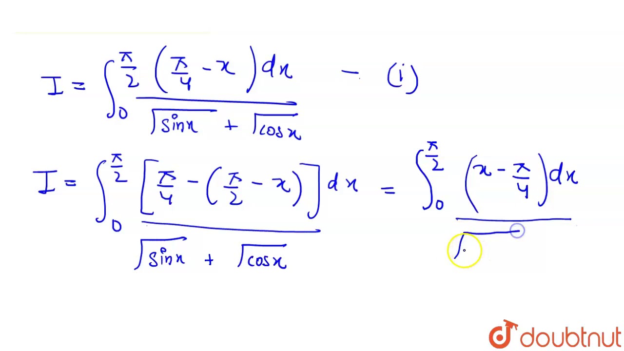
Sin x 4 sqrt 2 2