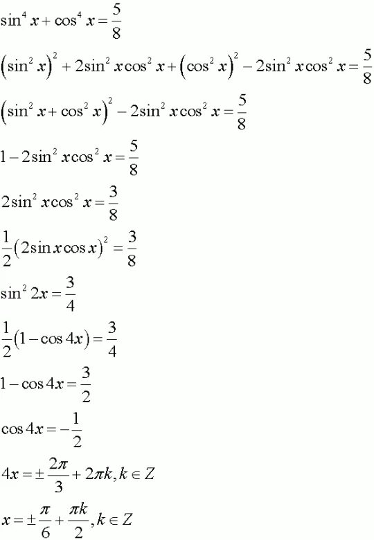
Sin x 4 1 2 решите