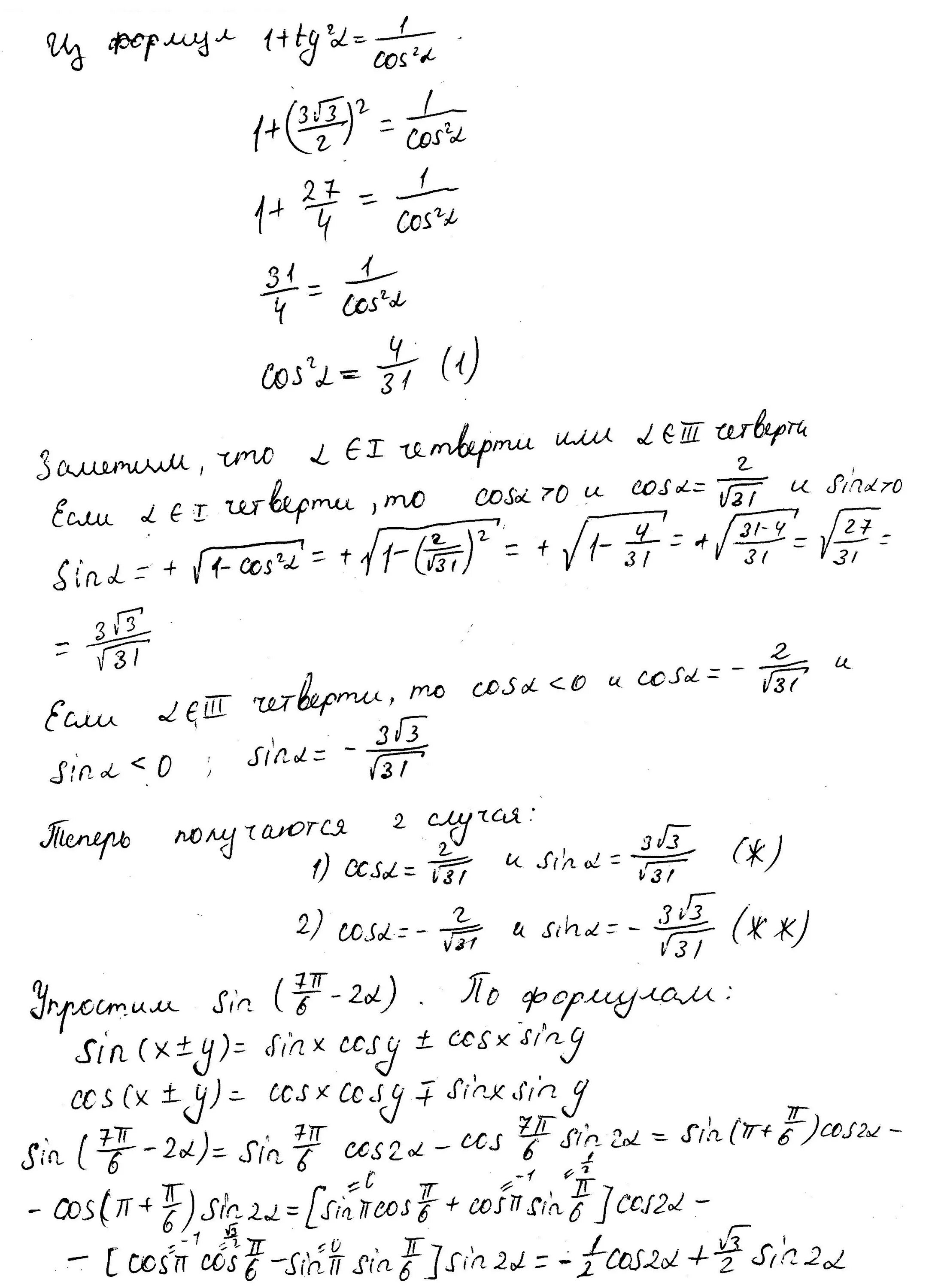
Sin 7 pi 6