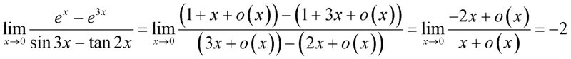
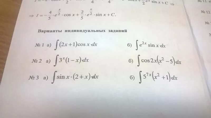
Sin 2 x 3 e x