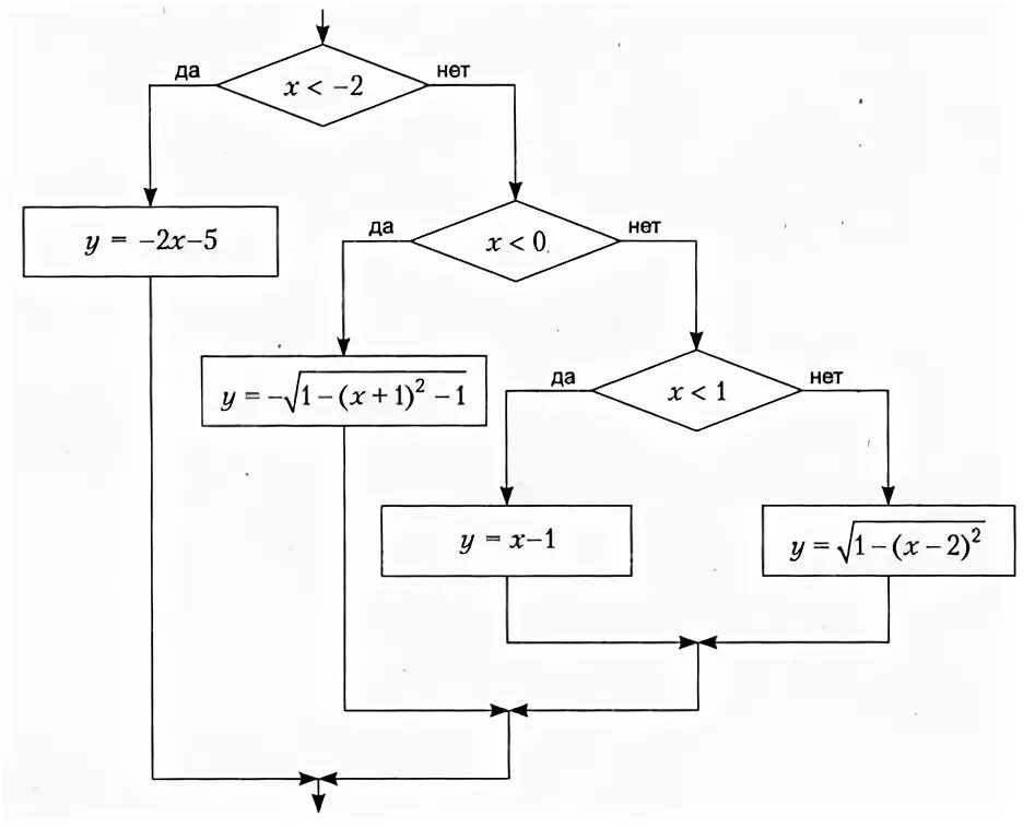
Схема вычислительного процесса