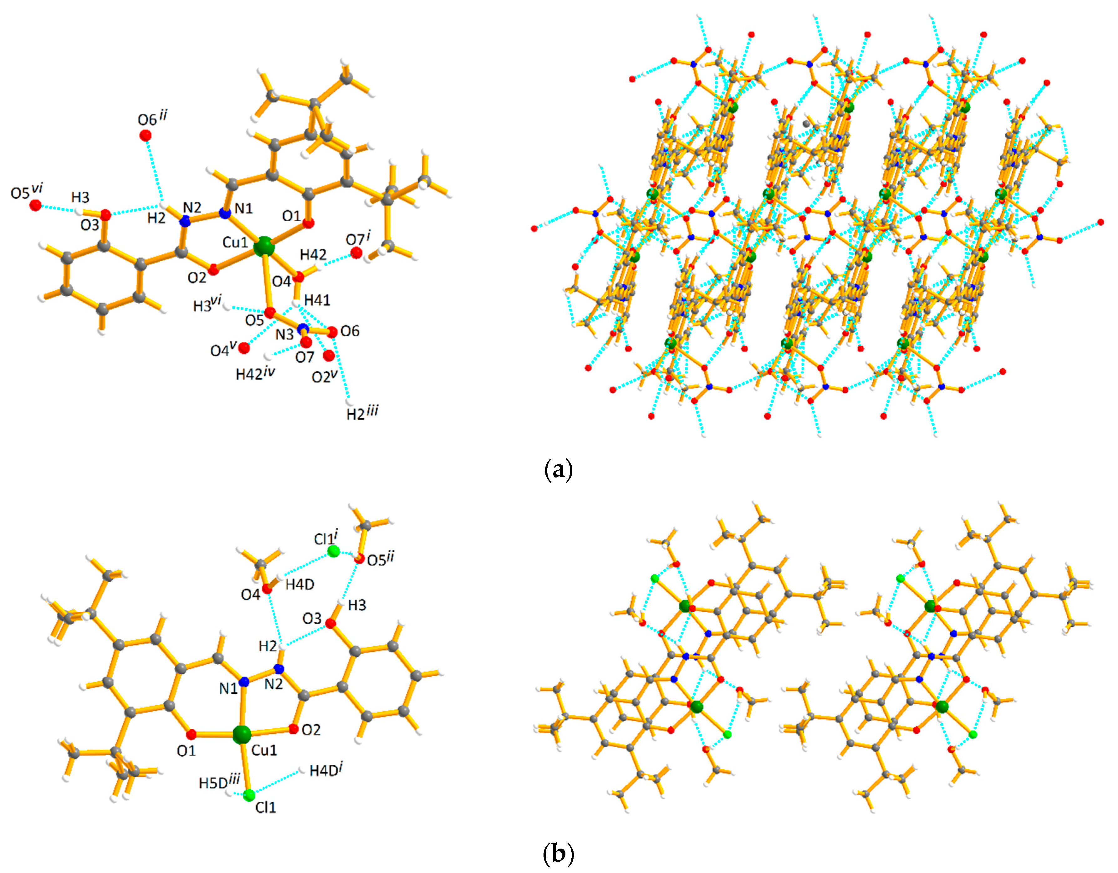
Схема образования n2