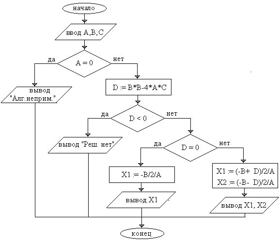
Схема алгоритма квадратного уравнения