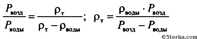
Шарик плавает в керосине и воде