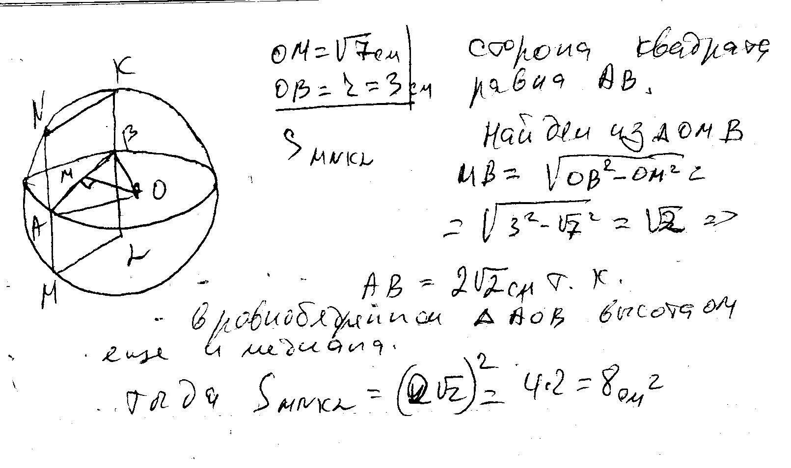
Сфера проходит через вершины квадрата cdef