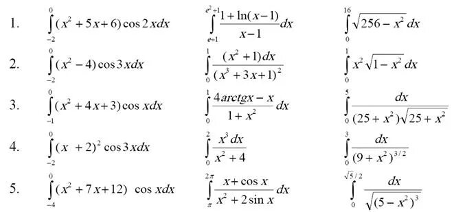
Семестр интегралы