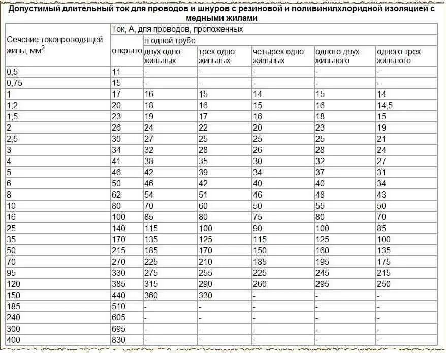
Сечение провода 1 5 мм2