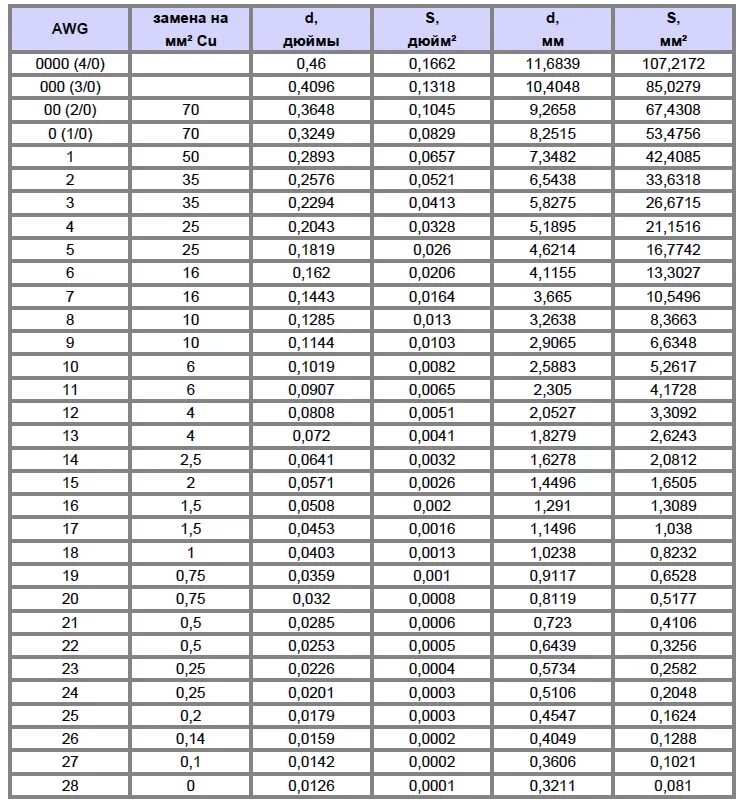
Сечение кв мм