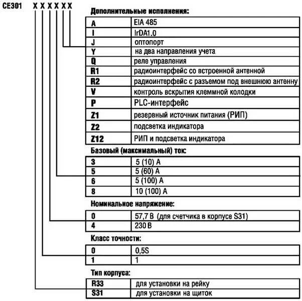
Се 301 ошибка