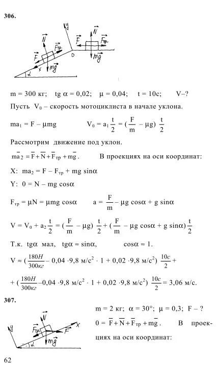
Сборник задач по физике 10 класс ответы