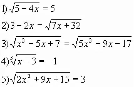
Самостоятельная работа решение иррациональных уравнений 10 класс