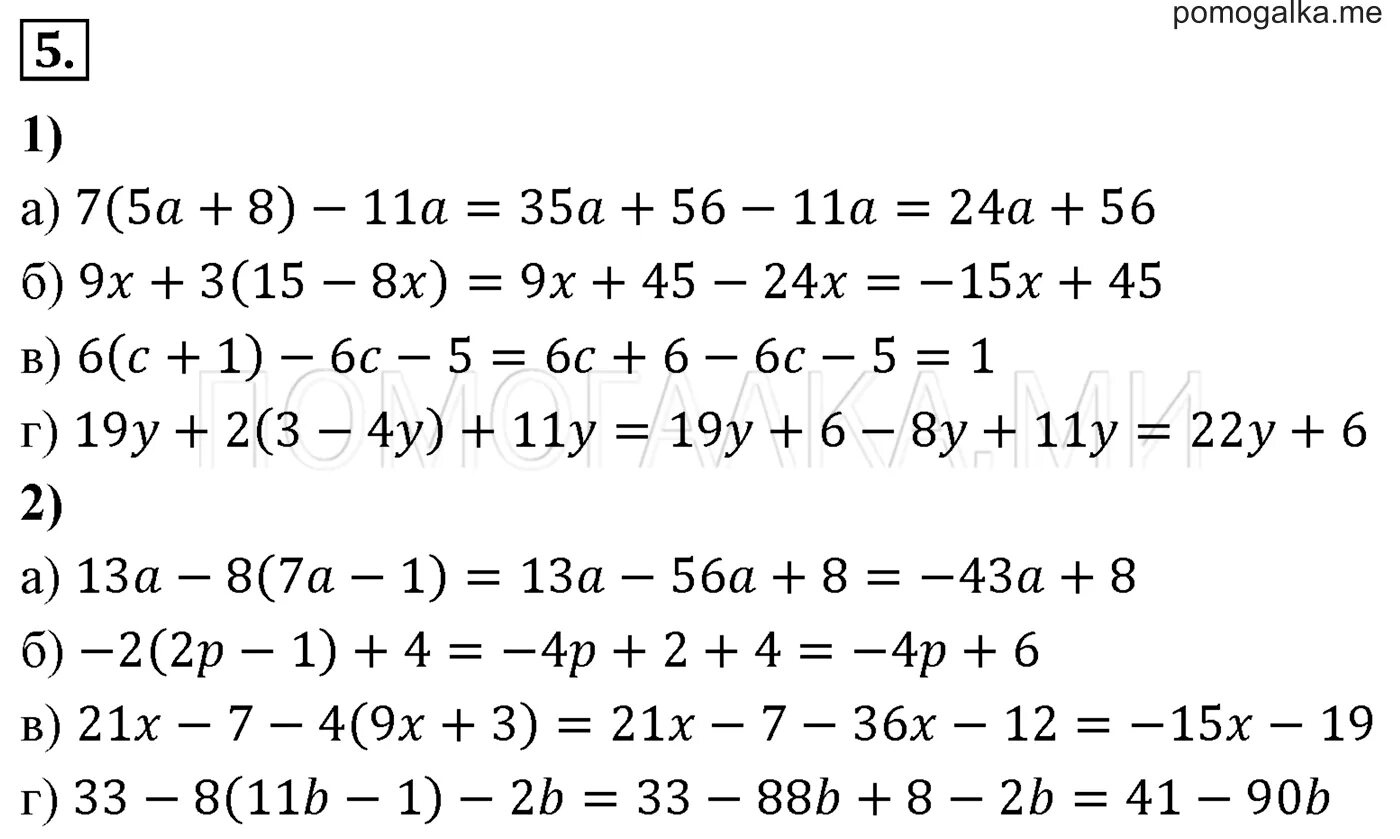
Самостоятельная работа приведение подобных