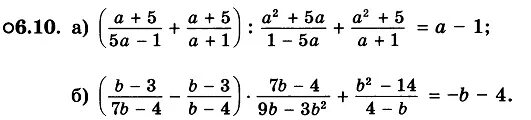
Самостоятельная работа по теме тождества