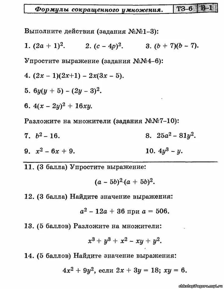
Самостоятельная работа 7 класса формулы