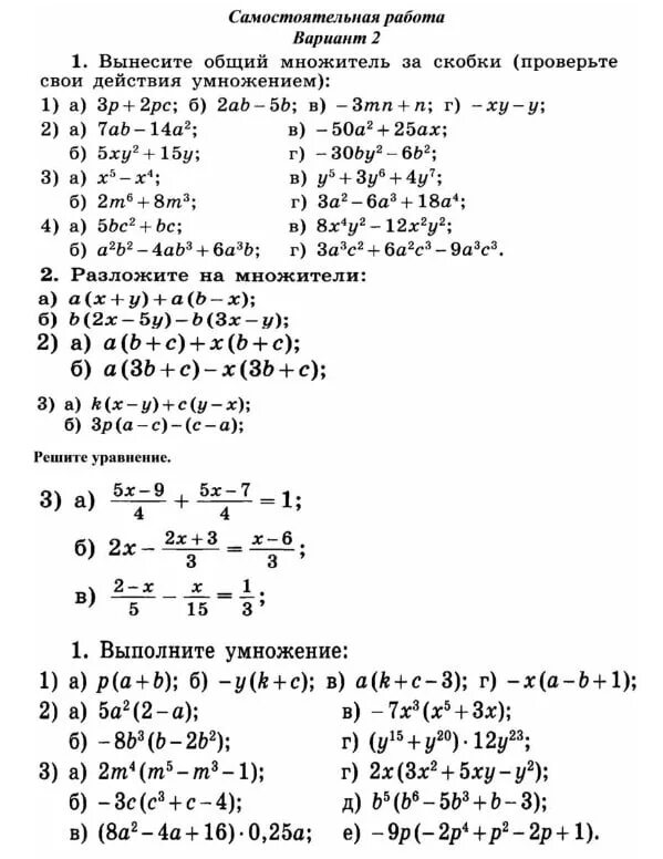
Самостоятельная работа 1.2 10 класс