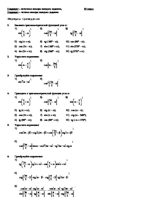
Самостоятельная по формулам приведения 10 класс