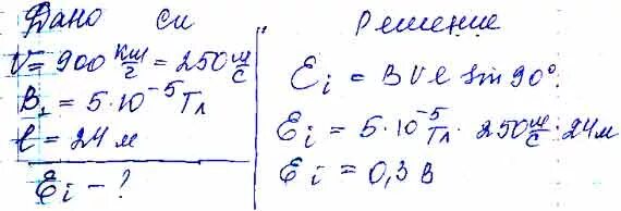
Самолет летит горизонтально со скоростью 1080