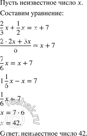
Самое неизвестное число