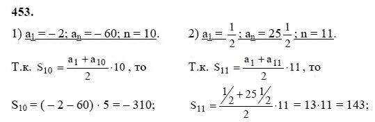
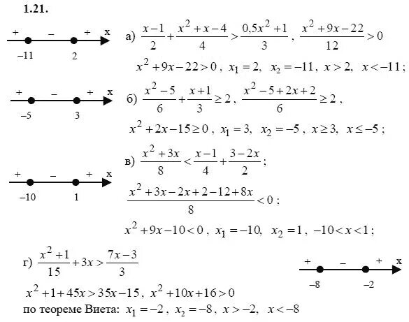
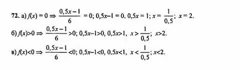
С точностью до алгебра 9 класс