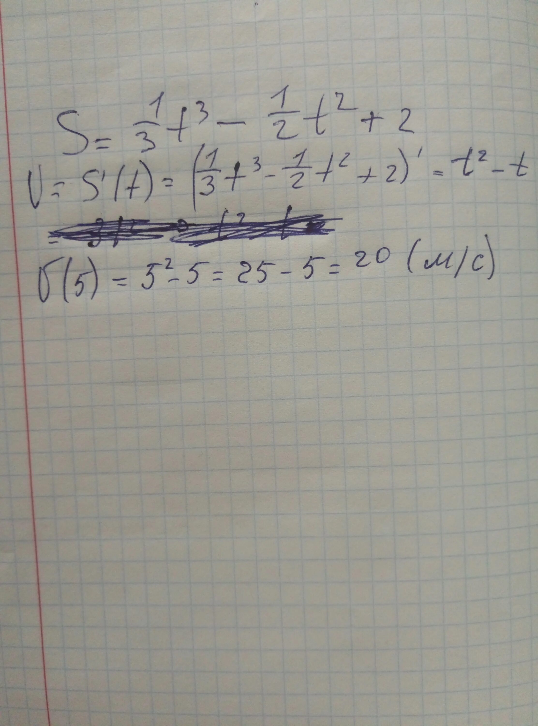
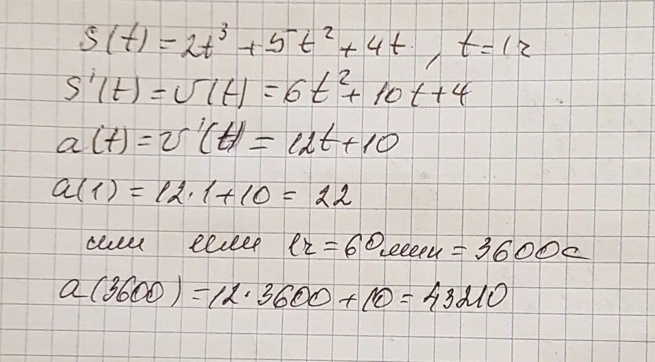
S t 2t 3 3t