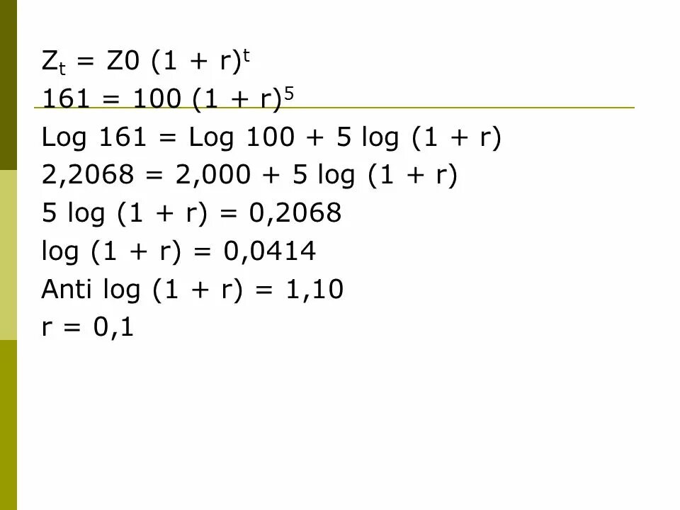
S r log r