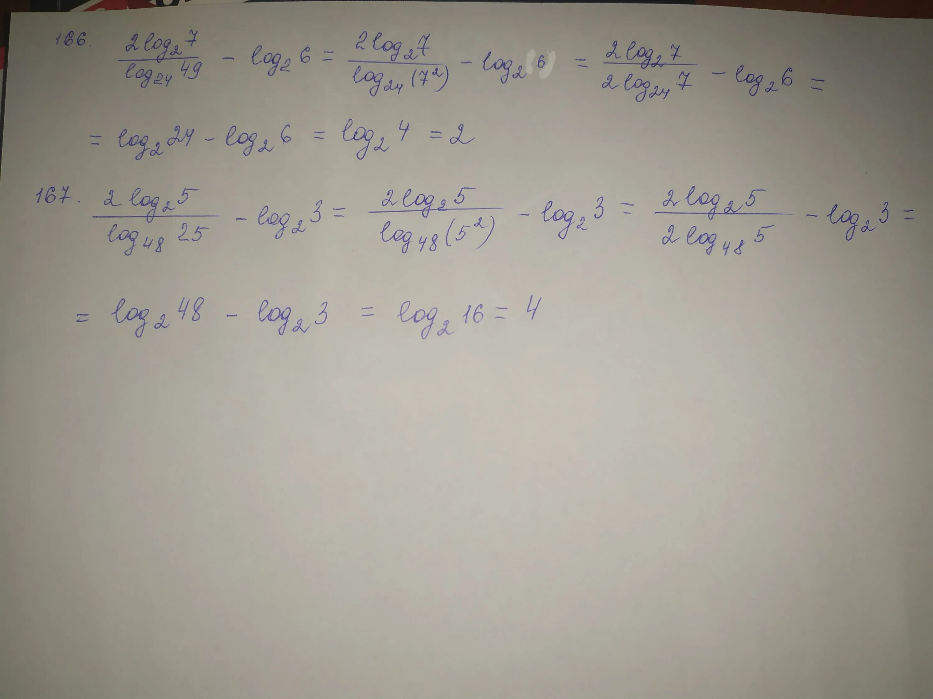
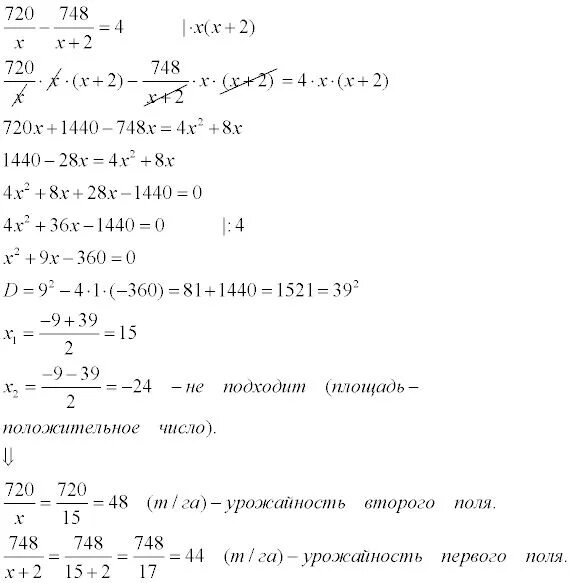
С одного поля собрали 28.96 т