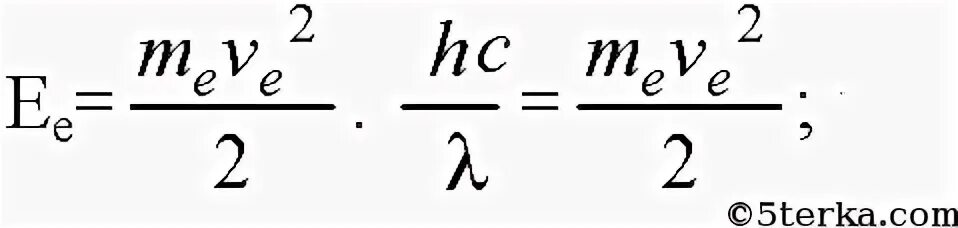
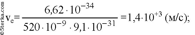
С какой скоростью должен двигаться электрон