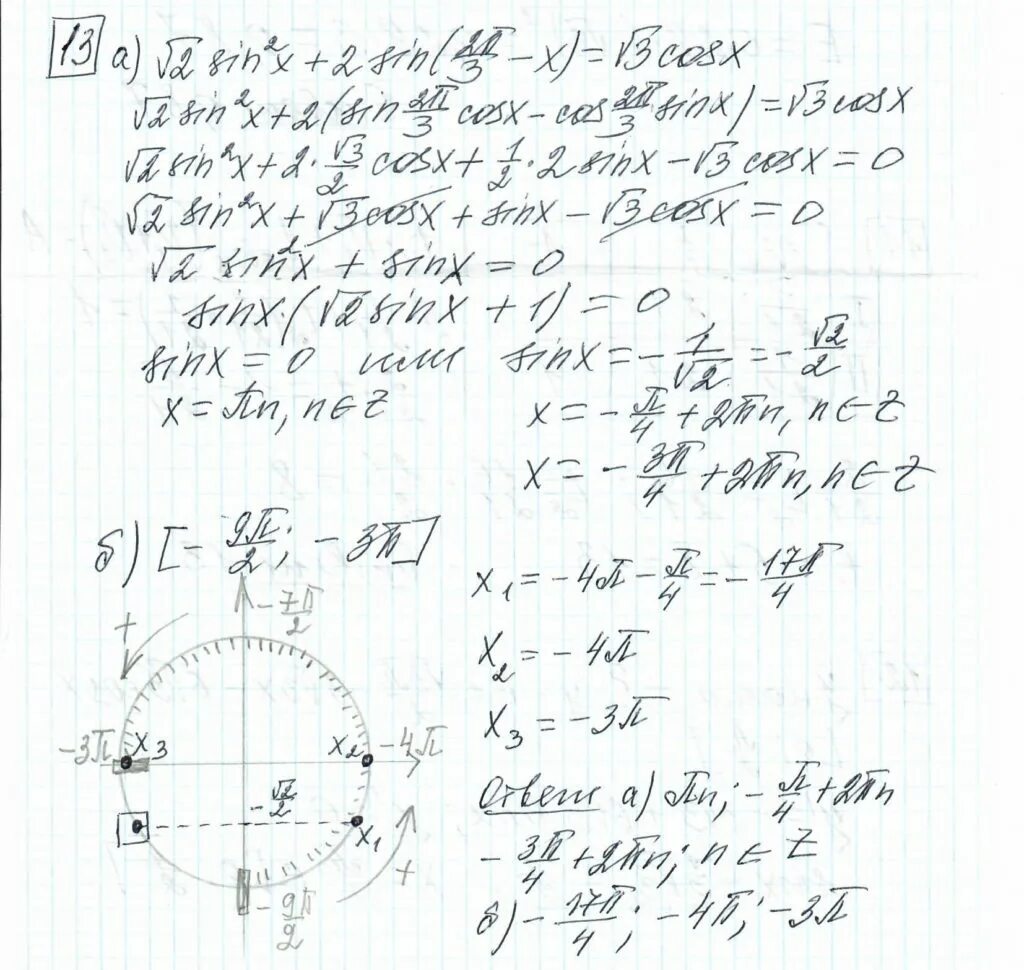
Решу егэ 14 вариант