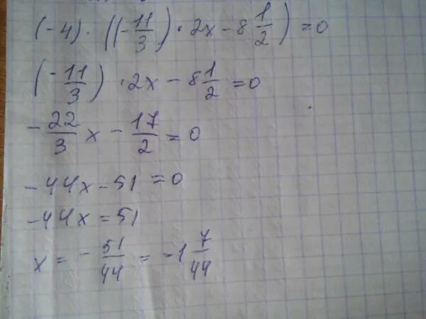
Решите уравнение 4x 7 9x 3