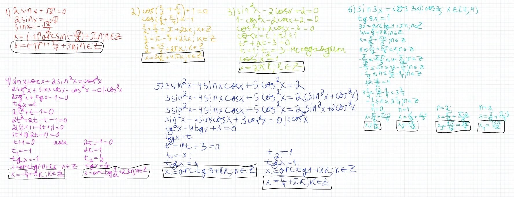
Решите уравнение 2sinx корень 2 0