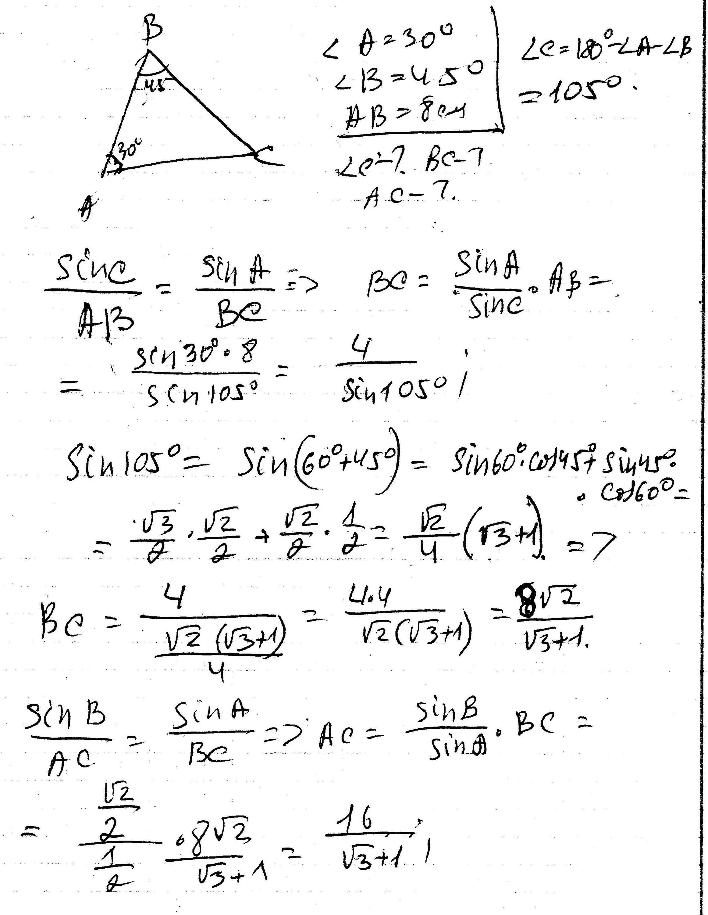
Решите треугольник бсд если угол б 45