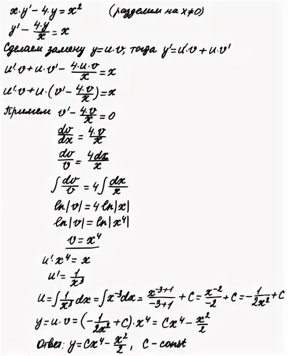
Решите систему уравнений xy x 4