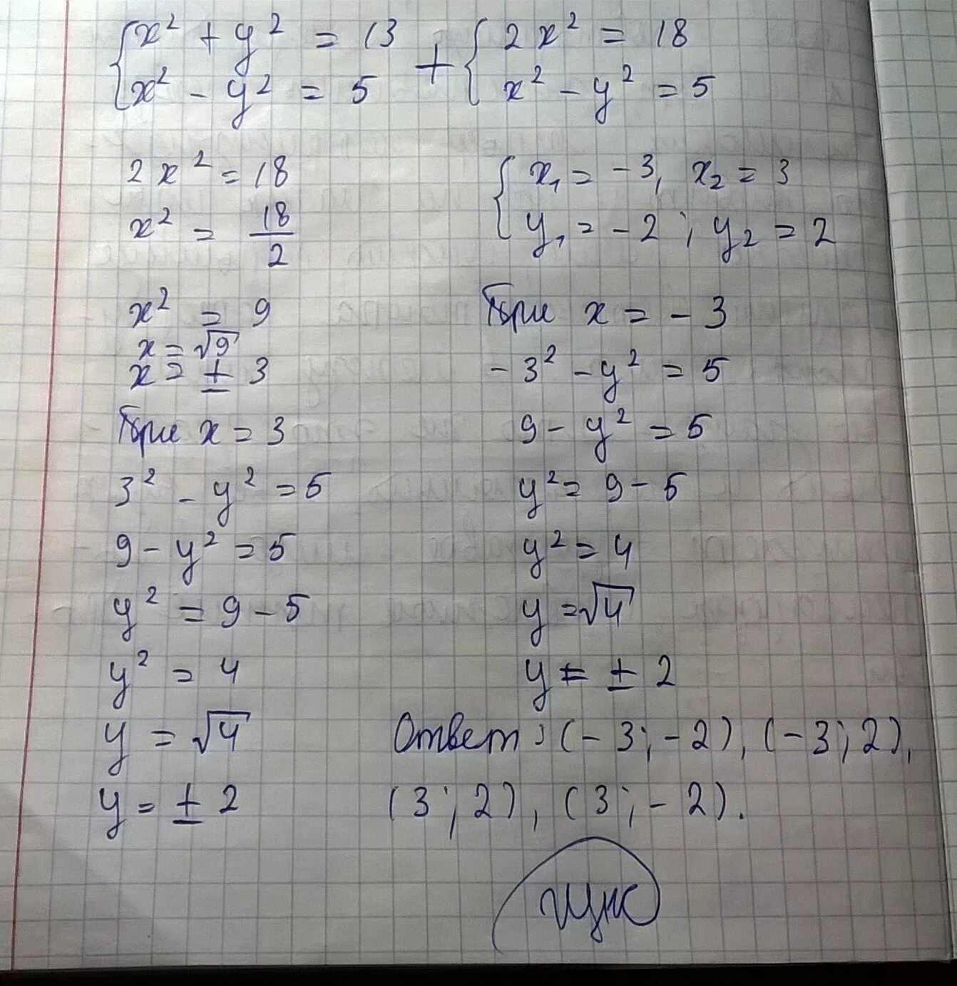
Решите систему уравнений х2 у2