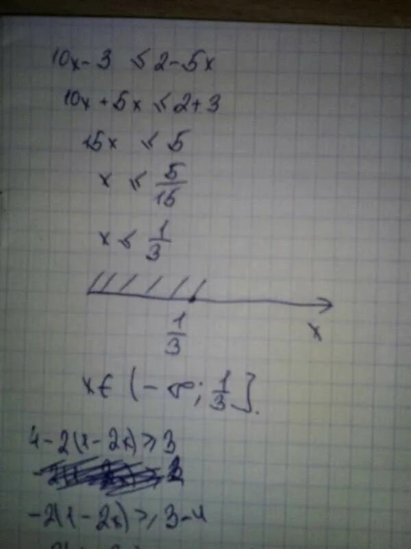
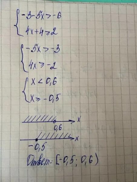
Решите систему неравенств 3 2 х