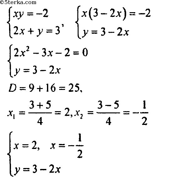
Решите систему методом замены переменной